Box 画像
93 Beautiful Css Box Shadow Examples Css Scan
初心者におすすめ Boxの特徴と使い方の解説
175 Best Free Box Mockups For 21 Mockuptree
100 Box Pictures Download Free Images Stock Photos On Unsplash
100 Box Pictures Download Free Images Stock Photos On Unsplash
100 Box Pictures Download Free Images Stock Photos On Unsplash
ボックスサイズの算出 例えば、上記のようにサイズ指定されたボックスがある場合、ボックス全体の横幅と高さは以下のように算出されます。 ボックス全体の横幅 = (内容領域の横幅0px)+(左右マージン5px×2)+(左右パディング10px×2.
Box 画像. Box Notesには、デスクトップからドラッグアンドドロップして、またはBoxに格納されている画像のBox共有リンクを挿入することで、画像を挿入できます。 画像は次のいずれかの方法で挿入します。 画像をデスクトップからBox Noteにドラッグアンドドロップします。 これが最も迅速かつ簡単な方法. 注 画像、ビデオ、およびオーディオについては、Box Captureのレビュー設定がデフォルトで無効になっています。 つまり、コンテンツはキャプチャ後すぐにBoxにアップロードされます。レビューを有効にするには、画面右下の レビュー スライダをタップします。. png 画像を配置する場合、配置ダイアログボックスの「 読み込みオプションを表示 」を選択すると、3 つの読み込み設定セクションがあるダイアログボックスが表示されます。2 つのセクションには、他のビットマップ画像形式の場合と同じオプションが表示.
ホンダn box g lパッケージ/n boxカスタム g lパッケージ試乗記 試乗記 第105回:NBOXは怪獣だ エッセイ 関連キーワード. テキストボックス内の文字列を、図を回り込むように配置したい こちらから ↓ ダウンロードできます。 図の文字まわりこみ_3段組み+2段分にテキストboxdocx Microsoft Word 447 KB ダウンロード 操作のコツ 折り返しを調整したい文書内にカーソルを入れ. Sign In to Your Account Email Address Reset Password or Sign in with Google.
現在画像結合サービスを、当サイト kksboxnetと新サイト photocombinenetで提供していますが、今後は新サイト「 フォトコンバイン 」へ一本化し、機能の拡充を行っていく予定です。 フォトコンバインWEBは写真をアップロードするだけで、4枚までの画像の. 「Visual Studio 22」v170 Preview 4が公開 ほか 8件を掲載(9月15日のダイジェストニュース) 9月15日 1740. 次のように none を指定すると、 画像なし を指定したことになります。 backgroundimage none;.
CSSを修正してチェックボックスを画像に重ねる チェックボックスを画像と重ねて表示するために、まずはチェックボックスの親要素にposition relativeを追加します。 ulimage_list li image_box { width 0px;. Scrapboxの使い方 / ブラケティング / ページをリンクする / セキュリティポリシー / Googleアカウント以外でのログイン / リリースノート21 / Import Pages / Export Pages / Businessプランに関するよくある質問 / Business plan (有料版) /. Box empowers your teams by making it easy to work with people inside and outside your organization, protect your valuable content, and connect all your apps Close.
テキストボックスと画像の間の空白が無くなりました。 スポンサードリンク よねさんのExcelとWordの使い方 | ワード13基本講座:目次 | テキストボックス |テキストボックスに画像(図)を挿. Login to Dropbox Bring your photos, docs, and videos anywhere and keep your files safe. ECサイト・ネットショップ素材を無料でダウンロードできる「EC design(デザイン)」 サイト集客、売上UPのため このサイトに掲載されている素材はどなたでも、使用条件に違反しない限りクレジット表記や許可なしで、自由にご利用いただけます。.
ライトボックスが使えるように「すぐ使えるCMS」のテンプレートを編集していきますが、編集する内容は以下の4点です。 画像を タグで囲い、class属性に「imagelink」を追加、キャプション(画像の説明)表示用の属性を設定 ライトボックス用の CSS の. 当社では写真撮影の回数も多く、一度に から 30 件もの高解像度画像ファイルをクライアントに送らなければなりません。Dropbox Business のおかげで、データが大きく重くても日々の管理が簡単に. グラフにテキストボックスを貼り付ける Topへ 下図のような折れ線グラフを使って説明します。 下図の折れ線グラフの作成方法は Excel13基本講座:折れ線グラフの作り方 をご覧ください。 グラフエリアを選択します。.
動画GIF化 ファイル読込みエリア 使い方・用途 動画からGIFアニメ画像が作れます。 低スペックPCでは重くて使えない場合があります サイズは500px以下、GIFの長さ10秒以内だと安定するかも 出来上がったら画像保存してお待ち帰り下さい。. バイオハザードマークの関連商品を取り扱っています。 詳細はこちらから 医療廃棄物容器評価格付 感染性廃棄物、あるいは感染性廃棄物と同等の扱いが必要な廃棄物を収納し、その収納物とともに処理される容器について評価を行うものです。.
D In A Box Snl Digital Short Youtube
Boxplot The R Graph Gallery
Box Corporation
Black Box Official Trailer Welcome To The Blumhouse Prime Video Youtube
Fritz Box Avm Deutschland
コンテンツ管理プラットフォーム Box Nttテクノクロス
Black Box Film Wikipedia
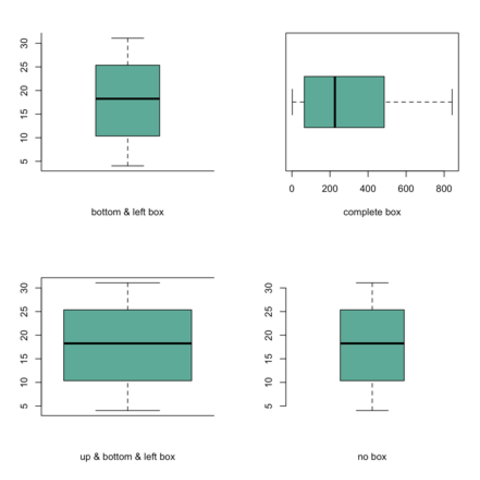
How To Compare Box Plots Bioturing S Blog
法人向けクラウドストレージ Directcloud Box
Slack
1
Box Cloud Content Management Im App Store
1
サービス連携ガイド Box ビジネスチャットならchatwork
Boxサービスの価格 法人向け 個人向け Box Japan
Box Developer Blog Medium
クラウドのファイルやフォルダをデスクトップから操作 Box Drive
フォルダの権限について Box Support
Design Order Your Custom Packaging Online Packhelp
Produkte Kentucky Fried Chicken
Box 法人向けセキュアなクラウドファイル共有 コラボレーション Ctc
Box Plot Wikipedia
Warhammer 40 000 Preview What S In The Box Warhammer Community
Boxes For Packing Shipping Moving Fedex
Operant Conditioning Chamber Wikipedia
Box Developers Medium
Deine Beauty Deko Und Modebox Im Abo My Little Box
コレクションの使用 Box Support
The Curiosity Box The Subscription For Thinkers
Aufbewahrungsboxen Korbe Ikea Deutschland
Benutzeroberflache Der Fritz Box Aufrufen Fritz Box 7590 Avm Deutschland
コンテンツ管理プラットフォーム Box Nttテクノクロス
N Box Honda公式サイト
Box Components Bmx Mtb Box
Box Components Bmx Mtb Box
Box Corporation
各デバイス用boxアプリのダウンロード Box
Pg Music Inc Band In A Box Realband And More
Box エス アンド アイ
初心者におすすめ Boxの特徴と使い方の解説
100 Box Pictures Download Free Images Stock Photos On Unsplash
平均 電報 布 クラウド Box Yk Urinushi Jp
Boxプレビューの概要 Box Support
初心者におすすめ Boxの特徴と使い方の解説
Ndr Feature Box Ndr De Kultur Radiokunst
Box Components Bmx Mtb Box
Box ボックス セキュアなファイルコラボレーションサービス
Bird Box 18 Imdb
Deine Beauty Deko Und Modebox Im Abo My Little Box
Box ボックス セキュアなファイルコラボレーションサービス
Deine Beauty Deko Und Modebox Im Abo My Little Box
Box Images Stock Photos Vectors Shutterstock
コンテンツ管理プラットフォーム Box Nttテクノクロス
Introduction To The Css Basic Box Model Css Cascading Style Sheets Mdn
How To Compare Box Plots Bioturing S Blog
Box Driveの基本的な使用方法 Box Support
Post Office Box Wikipedia
Warhammer 40 000 Preview What S In The Box Warhammer Community
Fritz Box Als Dsl Router Einrichten Standard Fritz Box 7590 Avm Deutschland
Pococha ポコチャ のbox枠って何 Box枠の詳細と利用方法を徹底解説 Snsデイズ
B Box
Black Box Model Definition
クラウドコンテンツマネジメント Box 製品 サービス Too
Azure Data Box Microsoft Azure
Box Secure Cloud Content Management Workflow And Collaboration
Azure Data Box Microsoft Azure
Other Side Of The Box A Horror Short From Caleb J Phillips Youtube
3
Blue Box Game Studios gamestudios Twitter
100 Box Pictures Download Free Images Stock Photos On Unsplash
初心者におすすめ Boxの特徴と使い方の解説
175 Best Free Box Mockups For 21 Mockuptree
各デバイス用boxアプリのダウンロード Box
Dundergubbe Moving Box Brown 50x31x40 Cm Ikea
Box フリーオンラインストレージ Free
Demon Slayer Complete Box Set Includes Volumes 1 23 With Premium Demon Slayer Kimetsu No Yaiba Gotouge Koyoharu Amazon Com Books
ホンダ N Box カスタム 価格 新型情報 グレード諸元 価格 Com
Boxplot The R Graph Gallery
クラウドコンテンツマネジメント Box 製品 サービス Too
Boxをなぜ選ぶ 他のクラウドストレージと比較しての利点を解説 Seleck セレック
各デバイス用boxアプリのダウンロード Box
Element Getboundingclientrect Web Apis Mdn
Walmart Beauty Box
Hit Box The All Button Controller And Fightstick Hit Box Hit Box Arcade
B Box
Roddy Ricch The Box Lyrics Youtube
Design Order Your Custom Packaging Online Packhelp
Spirit Box Phasmophobia Wiki Fandom
Smile In A Box
Azure Data Box Microsoft Azure
Box Components Bmx Mtb Box
Box ボックス セキュアなファイルコラボレーションサービス
Boxのファイルを特定の人に公開する方法を教えてください Too クリエイターズfaq 株式会社too
Darvas Box Theory Definition
Gratis Ersteschrittebox Von Limango
Bento Wikipedia
Clix Box Fights 76 0771 9529 By Pandvil Fortnite
Box Sicheres Content Management Sowie Sichere Workflows Und Zusammenarbeit



